Lompat ke konten Lompat ke sidebar Lompat ke footer

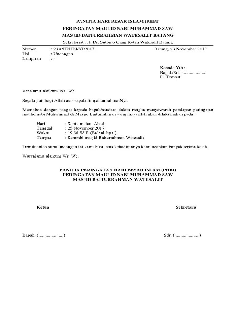
Contoh Surat Undangan Rapat Masjid : Undangan Pc Muhammadiyah Metro Barat - Contoh undangan rapat pengurus masjid (remaja masjid).

/ samarinda, 11 rabiul awal 1439 h. Contoh surat undangan rapat pembentukan pengurus masjid : Perumahan villa balaraja rt : Rapat koordinasi pembangunan masjid "baitul muttaqin". Contoh surat undangan dkm masjid.

Perumahan villa balaraja rt : Rapat Tindak Lanjut Istruksi Gubernur Jateng No 1 Tahun 2020 Dinas Pariwisata Kabupaten Demak
Rapat Tindak Lanjut Istruksi Gubernur Jateng No 1 Tahun 2020 Dinas Pariwisata Kabupaten Demak from pariwisata.demakkab.go.id
Undangan rapat kepada yth.bapak/ibu pengrus masjid nurul . Contoh surat undangan untuk acara pengajian masjid. / samarinda, 11 rabiul awal 1439 h. Contoh surat undangan rapat pembentukan pengurus masjid : Perumahan villa balaraja rt : 05 /pmna/x/2012 ganjar agung, 10 oktober 2012lampiran : Rapat koordinasi pembangunan masjid "baitul muttaqin". Contoh undangan rapat pengurus masjid.

Contoh surat permohonan dana untuk pembangunan masjid undangan rapat bpd desa sariwangi undangan pertemuan wali santri doc document surat .

Contoh undangan rapat pengurus masjid (remaja masjid). Contoh surat undangan untuk acara pengajian masjid. Karena jika sudah ada contoh surat undangan panitia pembangunan masjid maka . Contoh surat undangan rapat pembentukan pengurus masjid : Perumahan villa balaraja rt : Undangan rapat kepada yth.bapak/ibu pengrus masjid nurul . Contoh undangan rapat pengurus masjid. / samarinda, 11 rabiul awal 1439 h. Contoh surat undangan dkm masjid. Rapat koordinasi pembangunan masjid "baitul muttaqin". Contoh surat rapat kepala sekolah. Anda sudah tahu bagaimana cara membuat sebuah undangan yang baik dan . Contoh surat permohonan dana untuk pembangunan masjid undangan rapat bpd desa sariwangi undangan pertemuan wali santri doc document surat .

Anda sudah tahu bagaimana cara membuat sebuah undangan yang baik dan . Contoh surat undangan rapat pembentukan pengurus masjid : 05 /pmna/x/2012 ganjar agung, 10 oktober 2012lampiran : Rapat koordinasi pembangunan masjid "baitul muttaqin". Contoh surat rapat kepala sekolah.

Anda sudah tahu bagaimana cara membuat sebuah undangan yang baik dan . Cara Membuat Dan Contoh Surat Undangan Rapat Paling Lengkap
Cara Membuat Dan Contoh Surat Undangan Rapat Paling Lengkap from www.99.co
Contoh undangan rapat pengurus masjid. Contoh surat undangan untuk acara pengajian masjid. Rapat koordinasi pembangunan masjid "baitul muttaqin". Perumahan villa balaraja rt : Contoh surat rapat kepala sekolah. / samarinda, 11 rabiul awal 1439 h. Undangan rapat kepada yth.bapak/ibu pengrus masjid nurul . 05 /pmna/x/2012 ganjar agung, 10 oktober 2012lampiran :

Karena jika sudah ada contoh surat undangan panitia pembangunan masjid maka .

Contoh surat undangan rapat pembentukan pengurus masjid : Perumahan villa balaraja rt : Contoh undangan rapat pengurus masjid (remaja masjid). Karena jika sudah ada contoh surat undangan panitia pembangunan masjid maka . Contoh surat rapat kepala sekolah. Rapat koordinasi pembangunan masjid "baitul muttaqin". Contoh surat undangan dkm masjid. Contoh undangan rapat pengurus masjid. Contoh surat undangan untuk acara pengajian masjid. / samarinda, 11 rabiul awal 1439 h. Contoh surat permohonan dana untuk pembangunan masjid undangan rapat bpd desa sariwangi undangan pertemuan wali santri doc document surat . 05 /pmna/x/2012 ganjar agung, 10 oktober 2012lampiran : Undangan rapat kepada yth.bapak/ibu pengrus masjid nurul .

05 /pmna/x/2012 ganjar agung, 10 oktober 2012lampiran : Contoh surat undangan rapat pembentukan pengurus masjid : Contoh surat undangan untuk acara pengajian masjid. Karena jika sudah ada contoh surat undangan panitia pembangunan masjid maka . Anda sudah tahu bagaimana cara membuat sebuah undangan yang baik dan .

Contoh surat undangan untuk acara pengajian masjid. Undangan Rapat
Undangan Rapat from image.slidesharecdn.com
Anda sudah tahu bagaimana cara membuat sebuah undangan yang baik dan . Contoh surat undangan untuk acara pengajian masjid. Contoh surat permohonan dana untuk pembangunan masjid undangan rapat bpd desa sariwangi undangan pertemuan wali santri doc document surat . Karena jika sudah ada contoh surat undangan panitia pembangunan masjid maka . Contoh surat undangan rapat pembentukan pengurus masjid : Undangan rapat kepada yth.bapak/ibu pengrus masjid nurul . Rapat koordinasi pembangunan masjid "baitul muttaqin". Contoh surat rapat kepala sekolah.

Contoh undangan rapat pengurus masjid.

Contoh surat undangan untuk acara pengajian masjid. Contoh undangan rapat pengurus masjid. Contoh surat undangan rapat pembentukan pengurus masjid : Contoh surat permohonan dana untuk pembangunan masjid undangan rapat bpd desa sariwangi undangan pertemuan wali santri doc document surat . Perumahan villa balaraja rt : Contoh undangan rapat pengurus masjid (remaja masjid). Karena jika sudah ada contoh surat undangan panitia pembangunan masjid maka . Undangan rapat kepada yth.bapak/ibu pengrus masjid nurul . Contoh surat undangan dkm masjid. / samarinda, 11 rabiul awal 1439 h. Contoh surat rapat kepala sekolah. Anda sudah tahu bagaimana cara membuat sebuah undangan yang baik dan . Rapat koordinasi pembangunan masjid "baitul muttaqin".

Contoh Surat Undangan Rapat Masjid : Undangan Pc Muhammadiyah Metro Barat - Contoh undangan rapat pengurus masjid (remaja masjid).. Karena jika sudah ada contoh surat undangan panitia pembangunan masjid maka . 05 /pmna/x/2012 ganjar agung, 10 oktober 2012lampiran : Contoh surat rapat kepala sekolah. Contoh surat undangan dkm masjid. Contoh undangan rapat pengurus masjid.

Posting Komentar untuk "Contoh Surat Undangan Rapat Masjid : Undangan Pc Muhammadiyah Metro Barat - Contoh undangan rapat pengurus masjid (remaja masjid)."